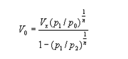
作輔助動力源

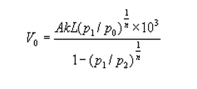
V0—所需蓄能器的容積(m3)
p0—充氣壓力Pa,按0.9p1>p0>0.25 p2充氣
Vx—蓄能器的工作容積(m3)
p1—系統最低壓力(Pa)
p2—系統最高壓力(Pa)
n—指數;等溫時取n=1;絕熱時取n=1.4
吸收泵的脈動

A—缸的有效面積(m2)
L—柱塞行程(m) k—與泵的類型有關的系數:
泵的類型 系數k
單缸單作用 0.60
單缸雙作用 0.25
雙缸單作用 0.25
雙缸雙作用 0.15
三缸單作用 0.13
三缸雙作用 0.06
p0—充氣壓力,按系統工作壓力的60%充氣
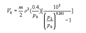
吸收沖擊

m—管路中液體的總質量(kg)
υ—管中流速(m/s)
p0—充氣壓力(Pa),按系統工作壓力的90%充氣
上一篇:蓄能器膠囊的參數有哪些
下一篇:蓄能器按照用途可以分為哪幾類
7×24小時服務熱線 13736056877